Dunn County Museum Committee
Meetings are usually held monthly, at the Dunn County Museum in Dunn Center. This committee oversees acceptance of items into the collection. Please call committee chair, Cathy Trampe, 701-548-8150, to verify a scheduled meeting will be held, as we are not always able to update this website with more recent changes. Minutes from recent meetings will be posted below, as they are approved. If you are interested in finding out what’s new at the museum, a list of accessions is included in the minutes.
NEXT SCHEDULED MEETING: TUES. JUNE 9, 2026 at 2PM
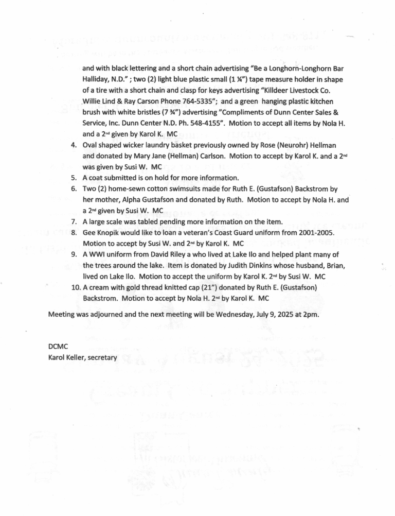
June 2025 Minutes (no meeting in July)
Minutes from August, September 2025 & March 2026 meetings pending approval.
May 2025 Minutes
April 2025 Minutes
March 2025 Minutes
January 2025 Minutes (no meeting in Feb. 2025)
November 2024 Minutes
October 2024 Minutes
September 2024 Minutes
August 2024 Minutes
June 2024 Minutes. There was no meeting in July 2024.
May 2024 Minutes
April 2024 Minutes
March 2024 Minutes
February 2024 Minutes
December 2023 Minutes There was no meeting in January 2024.
November 2023 Minutes
October 2023 Minutes
